Математика за 5. клас
Тест: Сравняване на естествени числа. Изобразяване върху числов лъч. Начален преговор

Сравни числата и избери правилния знак
  • 5 627 ___ 35 627

Сравни числата и избери правилния знак.
  • 12 356 749 ___ 2 356 749

Вярно ли е, че при сравняване на естествените числа тези с повече цифри са по-големи?

Кое от числата е най-малко?

Кое от числата е най-голямо?

Подреди числата във възходящ ред.

ПОДРЕДИ ЕЛЕМЕНТИТЕ ОТ ГОРЕ НАДОЛУ
  • 28 675
  • 367 413
  • 5 231 984
  • 9 807

Подреди числата в низходящ ред.

ПОДРЕДИ ЕЛЕМЕНТИТЕ ОТ ГОРЕ НАДОЛУ
  • 438 147
  • 419 746
  • 438 297
  • 435 897

Сравни числата. Свържи знаците с подходящите задачи.

  • 12 834 __ 12 834
    Постави липсващата част тук
  • 6 238 __ 4 823
    Постави липсващата част тук
  • 135 002 __ 136 000
    Постави липсващата част тук
  • 1 120 634 __ 1 120 634
    Постави липсващата част тук
  • >
  • <
  • =
  • =

Прочети числата, сравни ги и свържи с верния за сравняването знак.

  • 135 627 __ 135 827
    Постави липсващата част тук
  • 27 830 __ 27 690
    Постави липсващата част тук
  • 13 956 367 __ 13 956 367
    Постави липсващата част тук
  • 78 235 __ 78 232
    Постави липсващата част тук
  • >
  • >
  • <
  • =

Кои числа отговарят на условието?
  • 12 378 < ____ < 35 695

Този въпрос съдържа 2 верни отговора

Коя цифра трябва да застане на празното място, за да бъде вярно сравнението?
  • 789 690 < 7_9 647

Кои цифри могат да заемат свободното място, така че сравнението да е вярно?
  • 12 234 278 < 12 234 2_0

Този въпрос съдържа 2 верни отговора

zoom_image

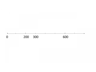
Запиши последователно пропуснатите числа.

, , ,

zoom_image

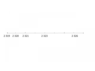
Запиши липсващите числа от числовия лъч.

; ;

zoom_image

Разгледай внимателно числовия лъч и свържи знаците така, че да бъдат верни сравненията.

  • З _ В
    Постави липсващата част тук
  • А _ Г
    Постави липсващата част тук
  • Ж _ Б
    Постави липсващата част тук
  • Г _ Ж
    Постави липсващата част тук
  • >
  • <
  • <
  • >